時間:2013-11-14 15:06:24 作者:第一紙白銀分析網 閱讀:次
|
北京時間2013年11月14日星期四白銀ETF持倉量較昨天沒有變化,今天持倉量為10443.82噸。 美聯儲副主席耶倫在為周四聽證會準備的證詞中說,當前聯儲非常規的貨幣政策,是令經濟復蘇的最好方式。她高度肯定了伯南克在應對危機中做出的貢獻。耶倫認為,當前美國7.3%的失業率仍然太高,經濟和勞動力市場的表現不佳,遠沒有發揮出應有的潛能。預計未來通脹水平依然很低,難以達到聯儲2%的目標水平。 耶倫聽證會前瞻之背景解讀 雖然在民主黨于參院占有多數議席的情況下,耶倫出席聽證會基本只是走走過場,其任命狀遭到阻擊的可能性微乎其微,但是耶倫屆時對政策前景發表的看法,仍會對市場前景造成影響。
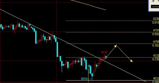
目前,美國白宮、美聯儲和財政部的工作人員正在準備耶倫聽證會的有關事宜。耶倫已被提名為下任美聯儲主席,她將于今晚23:00出席國會參議院聽證會。這一事件的影響力自上周起,便被市場無限放大。 技術面: 昨天價格反彈受阻于4100附近,后繼續下跌,跌破前期低點來到了4033,就目前的行情來看,一小時下跌趨勢線已經被小幅突破,且MACD出現了底背離的同時雙線金叉。但近段行情已經跌至日圖級別的前期支撐位,應該會有回調,根據1小時MACD來講已經符合了我個人做多的思路,但是上方的4150-4180也是強阻力位。今日晚間耶倫講話將直接左右行情趨勢,若價格能沖破該阻力區間,則短線由反轉信號成立,否則仍將延續下跌趨勢。
個人建議,僅供參考。 查看更多紙白銀相關新聞請看:紙白銀行情新聞
對紙白銀感興趣的朋友可以常來“第一紙白銀分析網”逛逛,我們每天會分析最新的紙白銀價格走勢。 |